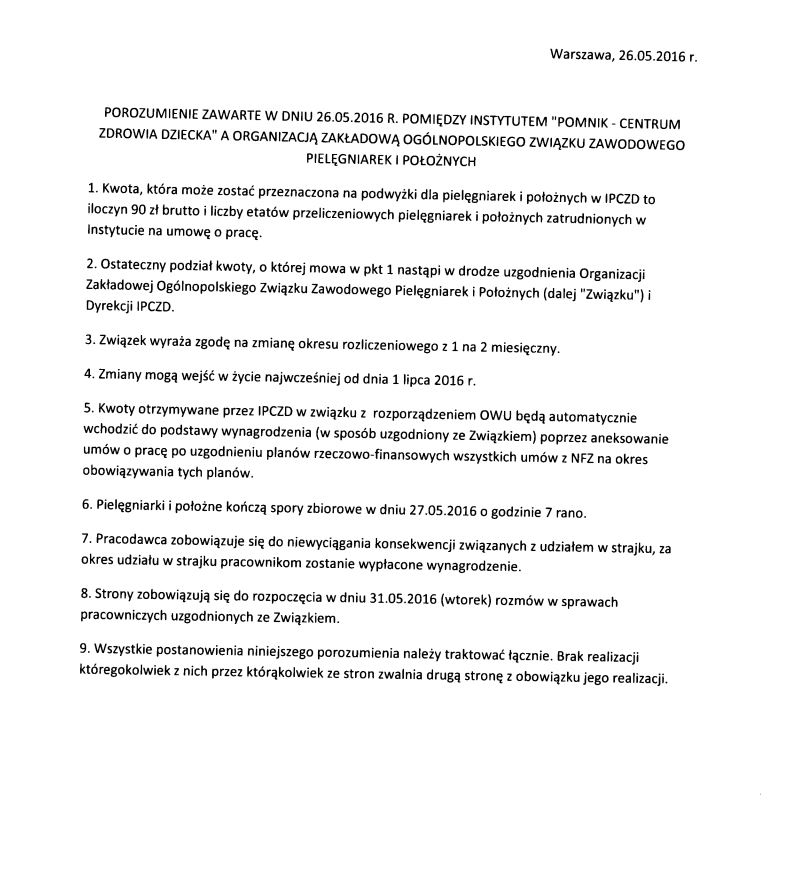
Zobacz jakie porozumienie przedstawiła pielęgniarkom dyrekcja CZD. „90 zł do podstawy”
26 maja dyrekcja Centrum Zdrowia Dziecka przedstawiła pielęgniarkom swoją propozycję porozumienia. Zostało ono odrzucone przez stronę strajkującą.

„Nieprawdą jest, że Związek Zawodowy nie usłyszał propozycji przedstawionych przez Dyrektora Instytutu. W rozmowach uczestniczył mediator z zewnątrz, jak również treść porozumienia została wręczona w formie pisemnej przez mecenasa reprezentującego IPCZD, do rąk własnych mecenasa reprezentującego Związek Zawodowy Pielęgniarek i Położnych. 90 zł (do podstawy) oznacza 156 zł średnio na pracownika. Przy proponowanym przez IPCZD podziale grupa najmniej zarabiająca otrzymałaby podwyżkę na poziomie 300 zł.” – pisze dyrekcja Centrum Zdrowia Dziecka w komunikacie.
Redaktor naczelny serwisu. Absolwent Wydziału Dziennikarstwa i Nauk Politycznych na Uniwersytecie Warszawskim z ponad 15-letnim doświadczeniem w mediach. Specjalista ds. strategii informacyjnych i komunikacji kryzysowej. Wieloletni inwestor giełdowy i praktyk rynków finansowych. W swoich tekstach łączy warsztat dziennikarski z praktyczną wiedzą o podatkach, inwestowaniu i mechanizmach rynkowych, tłumacząc zawiłości ekonomii na język codzienny.